СП 6.13130.2021 Системы противопожарной защиты. Электроустановки низковольтные. Требования пожарной безопасности

Материал из Аэропро.Вики

СП 6.13130.2021

СВОД ПРАВИЛ

Системы противопожарной защиты

ЭЛЕКТРОУСТАНОВКИ НИЗКОВОЛЬТНЫЕ

Требования пожарной безопасности

Fire protection system. Electrical installations low-voltage. Fire safety requirements

ОКС 13.220.01

Дата введения 2021-10-06


Предисловие

Предисловие

Цели и принципы стандартизации в Российской Федерации установлены Федеральным законом от 29 июня 2016 г. N 162-ФЗ "О стандартизации в Российской Федерации", а правила применения сводов правил - Федеральным законом от 27 декабря 2002 г. N 184-ФЗ "О техническом регулировании"

Сведения о своде правил

1 РАЗРАБОТАН И ВНЕСЕН Федеральным государственным бюджетным учреждением "Всероссийский ордена "Знак Почета" научно-исследовательский институт противопожарной обороны Министерства Российской Федерации по делам гражданской обороны, чрезвычайным ситуациям и ликвидации последствий стихийных бедствий" (ФГБУ ВНИИПО МЧС России)

2 УТВЕРЖДЕН И ВВЕДЕН В ДЕЙСТВИЕ Приказом Министерства Российской Федерации по делам гражданской обороны, чрезвычайным ситуациям и ликвидации последствий стихийных бедствий (МЧС России) от 6 апреля 2021 г. N 200

3 ЗАРЕГИСТРИРОВАН Федеральным агентством по техническому регулированию и метрологии 17 мая 2021 г.

4 ВВЕДЕН ВЗАМЕН СП 6.13130.2013

Информация о пересмотре или внесении изменений в настоящий свод правил, а также тексты размещаются в информационной системе общего пользования - на официальном сайте разработчика. Соответствующая информация, уведомление и тексты размещаются также в информационной системе общего пользования - на официальном сайте федерального органа испольнительной власти в сфере стандартизации в сети Интернет (www.gost.ru)


Введение

Введение

Настоящий свод правил разработан в развитие положений Федерального закона от 22 июля 2008 г. N 123-ФЗ "Технический регламент о требованиях пожарной безопасности" [1].

В своде правил рассмотрены вопросы, связанные с проектированием электроснабжения систем противопожарной защиты и выбора электрооборудования.


1 Область применения

     1 Область применения

1.1 Настоящий свод правил устанавливает требования к питанию электроприемников, линиям связи, электрооборудованию систем противопожарной защиты зданий и сооружений.

1.2 Настоящий свод правил предназначен для применения при проектировании и монтаже низковольтного электрооборудования систем противопожарной защиты вновь строящихся и реконструируемых зданий и сооружений.

Настоящий свод правил взаимосвязан с требованиями ГОСТ Р 50571-5-56 Электроустановки низковольтные. Часть 5-56. Выбор и монтаж электрооборудования. Системы обеспечения безопасности


2 Нормативные ссылки

     2 Нормативные ссылки

В настоящем своде правил использованы нормативные ссылки на следующие документы:

ГОСТ 30331.1 Электроустановки низковольтные. Часть 1. Основные положения, оценка общих характеристик, термины и определения

ГОСТ 31565 Кабельные изделия. Требования пожарной безопасности

ГОСТ IEC 60050-441 Международный электротехнический словарь. Часть 441. Аппаратура коммутационная, аппаратура управления и плавкие предохранители

ГОСТ Р 50571-5-56 Электроустановки низковольтные. Часть 5-56. Выбор и монтаж электрооборудования. Системы обеспечения безопасности

ГОСТ Р 53195.1 Безопасность функциональная связанных с безопасностью зданий и сооружений систем. Часть 1. Основные положения

ГОСТ Р 53316 Кабельные линии. Сохранение работоспособности в условиях пожара. Метод испытания

ГОСТ Р 56602 Слаботочные системы. Кабельные системы. Термины и определения

ГОСТ Р МЭК 60050-826 Установки электрические. Термины и определения

СП 256.1325800 Электроустановки жилых и общественных зданий. Правила проектирования и монтажа

Примечание - При пользовании настоящим сводом правил целесообразно проверить действие ссылочных стандартов и сводов правил в информационной системе общего пользования - на официальном сайте Федерального агентства по техническому регулированию и метрологии в сети Интернет или по ежегодному информационному указателю "Национальные стандарты", который опубликован по состоянию на 1 января текущего года, и по выпускам ежемесячного информационного указателя "Национальные стандарты" за текущий год. Если заменен ссылочный документ, на который дана недатированная ссылка, то рекомендуется использовать действующую версию этого документа с учетом всех внесенных в данную версию изменений. Если заменен ссылочный документ, на который дана датированная ссылка, то рекомендуется использовать версию этого документа с указанным выше годом утверждения (принятия). Если после утверждения настоящего свода правил в ссылочный документ, на который дана датированная ссылка, внесено изменение, затрагивающее положение, на которое дана ссылка, то это положение рекомендуется применять без учета данного изменения. Если ссылочный документ отменен без замены, то положение, в котором дана ссылка на него, рекомендуется применять в части, не затрагивающей эту ссылку.


3 Термины и определения

     3 Термины и определения

В настоящем своде правил применены следующие термины с соответствующими определениями:

3.1 аппарат защиты: Аппарат, автоматически отключающий защищаемую электрическую цепь при аварийных режимах [СП 256.1325800.2016, п.3.1.2].

3.2 аппарат управления: Аппарат, предназначенный для управления электрооборудованием.

3.3 кольцевая линия связи: Линия связи, начало и конец которой подключены к одному прибору приемно-контрольному пожарному или прибору пожарному управления и в результате неисправности которой образуются две самостоятельные радиальные линии связи.

3.4 панель питания электрооборудования систем противопожарной защиты: Распределительная панель в составе многопанельного низковольтного комплектного устройства, присоединяемая к вводной панели с автоматическим вводом резерва и предназначенная для питания электрооборудования системы противопожарной защиты. При этом низковольтное комплектное устройство может быть представлено как вводно-распределительное устройство, вводное устройство, главный распределительный щит или распределительный щит, комплектуемый встроенным автоматическим вводом резерва.

3.5 открытая электропроводка: Электропроводка, проложенная по поверхности стен, потолков, по фермам и другим строительным элементам зданий и сооружений, по опорам и т.п. [Правила устройства электроустановок (ПУЭ). Шестое издание. Раздел 2, пп.1 п.2.1.4].

3.6 связанная с безопасностью система (подсистема): Система (подсистема), реализующая функцию или функции безопасности, необходимые для достижения и поддержания безопасного состояния управляемого оборудования своими силами или совместно с другими связанными с безопасностью системами или внешними средствами уменьшения риска.

Примечание - Подсистема в настоящем термине является системой, которая входит составной частью в более крупную систему; подсистема, в свою очередь, может состоять из ряда менее крупных подсистем, которые также могут быть системами [ГОСТ Р 53195.1-2008, п.3.37].

3.7 скрытая электропроводка: Электропроводка, проложенная внутри конструктивных элементов зданий и сооружений (в стенах, полах, фундаментах, перекрытиях), а также по перекрытиям в подготовке пола, непосредственно под съемным полом и т.п. [Правила устройства электроустановок (ПУЭ). Шестое издание. Раздел 2, пп.2 п.2.1.4].

3.8 слаботочная система: Техническая система, выполняющая функции сбора, обработки и передачи информации, функционирование элементов которой в ее границах обеспечивается слабыми электрическими токами [ГОСТ Р 56602-2015, п.7].

3.9 шинопровод: Сборка заводского изготовления в виде системы проводников, состоящей из шин, которые расположены с интервалами и поддерживаются изолирующим материалом в трубе, жёлобе или аналогичной оболочке [ГОСТ IEC 60050-441-2015, п.441-12-07].

3.10 электрооборудование систем противопожарной защиты (электрооборудование СПЗ): Электрооборудование, предназначенное для функционирования систем противопожарной защиты в зданиях и сооружениях, к которым относятся средства обеспечения деятельности подразделений пожарной охраны, системы пожарной сигнализации, оповещения и управления эвакуацией людей при пожаре, аварийного освещения на путях эвакуации, противодымной защиты, автоматического пожаротушения, внутреннего противопожарного водопровода, лифтов для транспортировки подразделений пожарной охраны.

3.11 электроприемник: Электрическое оборудование, предназначенное для преобразования электрической энергии в другой вид энергии [ГОСТ 30331.1-2013, п.20.104].

3.12 электропроводка: Совокупность одного или более изолированных проводов, кабелей или шин и частей для их прокладки, крепления и, при необходимости, механической защиты [ГОСТ Р МЭК 60050-826-2009, п.826-15-01].

3.13 электропроводка систем противопожарной защиты (электропроводка СПЗ): Электропроводка, в том числе слаботочной системы, сохраняющая свою работоспособность в условиях пожара в течение времени, необходимого для выполнения своих функций подразделениями пожарной охраны, системами пожарной сигнализации, оповещения и управления эвакуацией людей при пожаре, аварийного освещения на путях эвакуации, противодымной защиты, автоматического пожаротушения, внутреннего противопожарного водопровода, лифтов для транспортировки подразделений пожарной охраны в зданиях и сооружениях.


4 Сокращения

     4 Сокращения

АВР - Автоматический ввод резерва
АКБ - Аккумуляторная батарея
АИП - Автономный источник питания
АПС - Автоматическая пожарная сигнализация
ВРУ - Вводно-распределительное устройство
ГРЩ - Главный распределительный щит
НКУ - Низковольтное комплектное устройство
ППКП - Прибор приемно-контрольный пожарный
ППУ - Прибор пожарный управления
Панель ПЭСПЗ - Панель питания электрооборудования системы противопожарной защиты
СБС - Связанная с безопасностью система
СКУД - Система контроля и управления доступом
СОУЭ - Система оповещения и управления эвакуацией
СПЗ - Система противопожарной защиты
ТД - Техническая документация


5 Требования к питанию электроприемников СПЗ

     5 Требования к питанию электроприемников СПЗ

5.1 Электроприемники СПЗ должны относиться к первой категории по надежности электроснабжения, кроме электроприемников СПЗ, установленных в зданиях класса функциональной пожарной опасности Ф1.1 с круглосуточным пребыванием людей, для которых должны предусматриваться автономные резервные источники электроснабжения.

5.2 На объектах, электроприемники которых отнесены к первой категории по надежности электроснабжения, питание электроприемников СПЗ должно осуществляться от панели ПЭСПЗ.

При отсутствии панели ПЭСПЗ на объекте защиты допускается выполнять питание электрооборудования СПЗ от самостоятельного НКУ с АВР, при этом самостоятельное НКУ с АВР должно подключаться после аппарата управления и до аппарата защиты ВРУ, ГРЩ или НКУ здания.

5.3 На объектах, электроприемники которых отнесены ко второй категории по надежности электроснабжения, питание электроприемников СПЗ должно осуществляться от самостоятельного НКУ с АВР, которое должно подключаться после аппарата управления и до аппарата защиты ВРУ, ГРЩ или НКУ здания.

5.4 На объектах, электроприемники которых отнесены к третьей категории по надежности электроснабжения, питание электроприемников СПЗ должно осуществляться от самостоятельного НКУ, которое должно подключаться после аппарата управления и до аппарата защиты ВРУ, ГРЩ или НКУ здания, при этом резервное питание следует осуществлять от АИП.

В качестве АИП могут применяться АКБ достаточной емкости для обеспечения непрерывного питания в течение времени, необходимого для выполнения своих функций электрооборудованием СПЗ на объекте защиты. Расчет емкости АКБ для функционирования СПЗ при прекращении электроснабжения от самостоятельного НКУ может быть выполнен в соответствии с приложением А.

Эксплуатация АКБ должна выполняться в условиях согласно ТД на АКБ.

5.5 Самостоятельные НКУ для питания электроприемников СПЗ, как правило, должны размещаться в непосредственной близости от ВРУ здания (в одном помещении), за исключением удаленных электроприемников СПЗ.

Места установки самостоятельных НКУ для удаленных электроприемников СПЗ выбираются в зависимости от их взаимного расположения, условий эксплуатации и способов прокладки питающих линий.

5.6 Высота установки аппаратов защиты и управления в самостоятельных НКУ, а также панелях ПЭСПЗ жилых и общественных зданий должна приниматься равной от 0,8 до 1,8 м от уровня пола помещения, в котором они размещены.

5.7 Подключение электроприемников, не относящихся к СПЗ объекта, к панели ПЭСПЗ и самостоятельным НКУ, за исключением СБС, не допускается.

5.8 При наличии на объекте защиты двух и более пожарных отсеков различных классов функциональной пожарной опасности питание электроприемников СПЗ должно осуществляться от самостоятельного НКУ с АВР, расположенного в каждом пожарном отсеке.

5.9 При наличии на объекте защиты СБС питание данных электроприемников должно осуществляться от панели ПЭСПЗ или самостоятельного НКУ согласно п.5.2-5.4.

5.10 Фасадная часть панели ПЭСПЗ или самостоятельного НКУ должна иметь отличительную окраску (красную) и табличку с маркировкой "Не отключать! Питание систем противопожарной защиты!".

5.11 В цепях питания двигателей установок водяного пожаротушения должны применяться автоматические выключатели с характеристикой "Д", а для двигателей вентиляторов противодымной вентиляции должны применяться автоматические выключатели с характеристикой "МА" (без теплового расцепителя).

5.12 В цепях питания электроприемников СПЗ установка устройств защиты, управляемых дифференциальным током, и устройств защиты от дугового пробоя, в том числе установка этих устройств, конструктивно совмещенных с автоматическими выключателями, не допускается.


6 Требования к электрооборудованию СПЗ

     6 Требования к электрооборудованию СПЗ

6.1 Панели ПЭСПЗ, самостоятельные НКУ, а также ВРУ, ГРЩ, НКУ и другое электрооборудование, обеспечивающее электрическую связь источника питания с исполнительными устройствами (электроприемниками СПЗ), следует применять в соответствии с требованиями государственных стандартов, ТД, а также с учетом климатических, механических и других воздействий в местах их размещения.

6.2 Электропроводки СПЗ, в том числе линии слаботочных систем, должны выполняться огнестойкими, не распространяющими горение кабелями с медными жилами.

Волоконно-оптические линии связи СПЗ должны выполняться огнестойкими, не распространяющими горение кабелями.

Допускается выполнять электропроводки СПЗ шинопроводами с медными и алюминиевыми шинами.

6.3 Электропроводки СПЗ допускается выполнять неогнестойкими кабелями (без индекса "FR") в:

безадресных линиях связи с неадресными пожарными извещателями СПС;

кольцевых линиях связи при подключении в них изоляторов короткого замыкания;

кольцевых волоконно-оптических линиях связи;

цепях управления и контроля противопожарными нормально открытыми клапанами (НО), входящими в состав общеобменной вентиляции;

цепях питания светильников аварийного освещения со встроенными АИП (например, АКБ) и иными накопителями энергии, обеспечивающими работу светильников на путях эвакуации продолжительностью не менее 1 часа в режиме "Пожар";

линиях, прокладываемых в огнестойких коробах, сохраняющих работоспособность электропроводок СПЗ в условиях пожара в течение времени, необходимого для выполнения их функций;

линиях электропитания ППКП и ППУ, имеющих резервный ввод от встроенных АИП (АКБ).

6.4 Работоспособность электропроводок СПЗ в условиях пожара обеспечивается выбором типа исполнения кабелей в соответствии с ГОСТ 31565 (за исключением электропроводок по 6.3 настоящего свода правил) и способом их прокладки.

6.5 Время работоспособности электропроводки в условиях пожара определяется в соответствии с ГОСТ Р 53316.

6.6 Совместная прокладка кабелей и проводов СПЗ с кабелями и проводами иного назначения, а также кабелей питания СПЗ и кабелей линий связи СПЗ в одном коробе, трубе, жгуте, замкнутом канале строительной конструкции не допускается.

В одном сплошном металлическом коробе (лотке) допускается совместно прокладывать экранированные кабели линий связи СПЗ с линиями связи, не относящимися к СПЗ и экранированные кабели линий связи СПЗ с экранированными кабелями питания СПЗ при условии их разделения, в указанных случаях, сплошной металлической перегородкой по всей высоте короба (лотка).

6.7 Не допускается использование двух и более пар жил одного кабеля или провода для реализации кольцевой линии связи.

6.8 Не допускается совместная прокладка кольцевых линий связи СПЗ в одном коробе, трубе, жгуте, замкнутом канале строительной конструкции или на одном лотке.


Приложение А (рекомендуемое). Расчет емкости АКБ для функционирования СПЗ при прекращении электроснабжения от основного источника питания

Приложение А
(рекомендуемое)

Расчет емкости АКБ для функционирования СПЗ при прекращении электроснабжения от основного источника питания

Данный расчетный метод предназначен для определения времени работы СПЗ, питаемой от АКБ, при прекращении электроснабжения от основного источника питания (НКУ).

Расчет емкости () АКБ как АИП в составе СПЗ производится по формуле (А.1)


,                                 (А.1)

где

- суммарный потребляемый ток СПЗ в дежурном режиме (А);

- время работы СПЗ от АКБ в дежурном режиме, 24 ч;

- суммарный потребляемый ток СПЗ в режиме "пожар", А;

- время работы СПЗ от АКБ в режиме "пожар", 1 ч;

- коэффициент старения АКБ согласно ТД на АКБ.

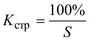
Коэффициент старения АКБ () определяется в соотношении ее емкости от срока службы по формуле (А.2):

,                                                       (А.2)

где

100% - значение емкости АКБ в начальный период эксплуатации;

S - значение емкости АКБ в конечный период эксплуатации согласно ТД на АКБ, %.

Расчет времени (t) выполнения своих функций СПЗ, питаемых от АКБ, определяется по формуле (А.3)

,                                                    (А.3)

где

- емкость АКБ, А/ч;

- потребляемый ток в режиме "Пожар", А

        - коэффициент старения АКБ, принимается согласно ТД на АКБ.


Библиография

Библиография

[1] Федеральный закон

от 22 июля 2008 г. N 123-ФЗ

Технический регламент о требованиях пожарной безопасности
УДК 614.841.33(045):006.354 ОКС 13.220.01
Ключевые слова: кабельная линия, электроприемник, электрооборудование, требование пожарной безопасности