СП 364.1311500.2018 Здания и сооружения для обслуживания автомобилей. Требования пожарной безопасности Изм 1

Материал из Аэропро.Вики

Файл:СП 364.1311500.2018 Здания и сооружения для обслуживания автомобилей. Требования пожарной безопасности Изм.1.pdf


СП 364.1311500.2018

СВОД ПРАВИЛ

ЗДАНИЯ И СООРУЖЕНИЯ ДЛЯ ОБСЛУЖИВАНИЯ АВТОМОБИЛЕЙ

Требования пожарной безопасности

Buildings and facilities for service of cars. Fire safety requirements

ОКС 13.220.01

Дата введения 2018-05-01

Предисловие

Предисловие

Сведения о своде правил

1 ИСПОЛНИТЕЛЬ - Федеральное государственное бюджетное учреждение "Всероссийский ордена "Знак Почета" научно-исследовательский институт противопожарной обороны" МЧС России (ФГБУ ВНИИПО МЧС России)

2 ВНЕСЕН Федеральным государственным бюджетным учреждением "Всероссийский ордена "Знак Почета" научно-исследовательским институтом противопожарной обороны" МЧС России (ФГБУ ВНИИПО МЧС России)

3 УТВЕРЖДЕН Приказом Министерства Российской Федерации по делам гражданской обороны, чрезвычайным ситуациям и ликвидации последствий стихийных бедствий (МЧС России) от 10 апреля 2018 г. N 154 и введен в действие с 1 мая 2018 г.

4 ЗАРЕГИСТРИРОВАН Федеральным агентством по техническому регулированию и метрологии (Росстандарт)

5 ВВЕДЕН ВПЕРВЫЕ

В случае пересмотра (замены) или отмены настоящего свода правил соответствующее уведомление будет опубликовано в установленном порядке. Соответствующая информация, уведомление и тексты размещаются также в информационной системе общего пользования - на официальном сайте разработчика в сети Интернет

ВНЕСЕНО Изменение N 1, утвержденное и введенное в действие приказом МЧС России от 24.05.2023 N 504 c 01.07.2023

    Изменение N 1 внесено изготовителем базы данных по тексту М.: ФГБУ "РСТ", 2023  

1 Область применения

     1 Область применения

1.1 Настоящий свод правил устанавливает требования пожарной безопасности при проектировании, строительстве, монтаже, реконструкции, техническом перевооружении зданий и сооружений для обслуживания автомобилей.

(Измененная редакция, Изм. N 1).     

1.2 Настоящий свод правил распространяется на здания, сооружения предприятий для обслуживания колесных транспортных средств [1], а также сельскохозяйственной техники.

1.3 Действие настоящего свода правил не распространяется на здания пожарных депо, здания и сооружения для обслуживания подвижной техники военного назначения, автомобилей для транспортирования радиоактивных, ядовитых и инфицирующих материалов, а также на здания для обслуживания автомобилей, работающих на водороде.

(Измененная редакция, Изм. N 1).

           

2 Нормативные ссылки

     2 Нормативные ссылки

В настоящем своде правил использованы нормативные ссылки на следующие документы:

ГОСТ Р 53521-2009 Переработка природного газа. Термины и определения

СП 2.13130.2020 Системы противопожарной защиты. Обеспечение огнестойкости объектов защиты

СП 4.13130.2013 Системы противопожарной защиты. Ограничение распространения пожара на объектах защиты. Требования к объемно-планировочным и конструктивным решениям

СП 7.13130.2013 Отопление, вентиляция и кондиционирование. Требования пожарной безопасности

СП 8.13130.2020 Системы противопожарной защиты. Наружное противопожарное водоснабжение. Требования пожарной безопасности

СП 10.13130.2020 Системы противопожарной защиты. Внутренний противопожарный водопровод. Нормы и правила проектирования

СП 12.13130.2009 Определение категорий помещений, зданий и наружных установок по взрывопожарной и пожарной опасности

СП 156.13130.2014 Станции автомобильные заправочные. Требования пожарной безопасности

СП 326.1311500.2017 Объекты малотоннажного производства и потребления сжиженного природного газа. Требования пожарной безопасности

СП 484.1311500.2020 Системы противопожарной защиты. Системы пожарной сигнализации и автоматизация систем противопожарной защиты. Нормы и правила проектирования

СП 485.1311500.2020 Системы противопожарной защиты. Установки пожаротушения автоматические. Нормы и правила проектирования

СП 486.1311500.2020 Системы противопожарной защиты. Перечень зданий, сооружений, помещений и оборудования, подлежащих защите автоматическими установками пожаротушения и системами пожарной сигнализации. Требования пожарной безопасности

Примечание - При пользовании настоящим сводом правил целесообразно проверить действие ссылочных документов в информационной системе общего пользования - на официальном сайте федерального органа исполнительной власти в сфере стандартизации в сети Интернет, на официальном сайте федерального органа исполнительной власти, разработавшего и утвердившего настоящий свод правил, или по ежегодному информационному указателю "Национальные стандарты", который опубликован по состоянию на 1 января текущего года, и по выпускам ежемесячного информационного указателя "Национальные стандарты" за текущий год. Если заменен ссылочный документ, на который дана недатированная ссылка, то рекомендуется использовать действующую версию этого документа с учетом всех внесенных в данную версию изменений. Если заменен ссылочный документ, на который дана датированная ссылка, то рекомендуется использовать версию этого документа с указанным выше годом утверждения (принятия). Если после утверждения настоящего свода правил в ссылочный документ, на который дана датированная ссылка, внесено изменение, затрагивающее положение, на которое дана ссылка, то это положение рекомендуется применять без учета данного изменения. Если ссылочный документ отменен без замены, то положение, в котором дана ссылка на него, рекомендуется применять в части, не затрагивающей эту ссылку. Сведения о действии сводов правил целесообразно проверить в Федеральном информационном фонде стандартов.

(Измененная редакция, Изм. N 1).

           

3 Термины, определения и принятые сокращения

     3 Термины, определения и принятые сокращения

В настоящем своде правил применены следующие термины с соответствующими определениями:

3.1 газобаллонный автомобиль: Транспортное средство с двигателем, работающим на компримированном или сжиженном природном или сжиженном углеводородном газе.

(Измененная редакция, Изм. N 1).

           

3.2 групповая баллонная установка: Установка газоснабжения, в состав которой входит более двух баллонов вместимостью не менее 5 л каждый.

3.3 жидкое моторное топливо: Топливо для двигателей внутреннего сгорания, находящееся при нормальных условиях в жидком состоянии (бензин, дизельное топливо, керосин и др.).

3.4 кладовая: Небольшое помещение для хранения различных предметов при отсутствии в нем постоянных рабочих мест.

3.5 обслуживание автомобилей: Рабочие операции по осмотру, ремонту, замене отдельных деталей, узлов или масла, обслуживанию и зарядке аккумуляторов, окраске, мойке, шиномонтажу, установке устройств, не входящих в комплект автомобиля, и т.д.

3.6 пост: Рабочее место (на открытой площадке или в помещении) для обслуживания одного автомобиля.

3.7 технические помещения: Вспомогательные помещения, в которых размещено инженерное оборудование, предназначенное для обеспечения производственного процесса и комфортных условий труда (вентиляционные, трансформаторные, электрощитовые, тепловые пункты, насосные системы пожаротушения, водоснабжения и канализации, щитовые управления процессами безопасности, противодымной вентиляции, оповещения и т.д.).

(Измененная редакция, Изм. N 1).

           

3.8 централизованное газоснабжение: Газоснабжение от газопровода или групповой баллонной установки, размещенной за пределами обслуживаемого здания.

3.9 площадка слива: Часть территории объекта, предназначенная для проведения сливоналивных операций.

(Введен дополнительно, Изм. N 1).

           

3.10 природный газ: Газообразная смесь, состоящая из метана и более тяжелых углеводородов, азота, диоксида углерода, водяных паров, серосодержащих соединений, инертных газов.

(Введен дополнительно, Изм. N 1).

           

3.11 сжиженный природный газ; СПГ: Природный газ, сжиженный после переработки с целью хранения и транспортирования.

(Введен дополнительно, Изм. N 1).

           

3.12 свеча: Устройство для выпуска газа в атмосферу.

(Введен дополнительно, Изм. N 1).

           

3.13 устройство для сброса давления: Устройство для предотвращения роста давления в криогенных резервуарах и технологическом оборудовании выше регламентированного значения.

(Введен дополнительно, Изм. N 1).

           

3.14 двухоболочечный резервуар СПГ: Полуизотермический резервуар (сосуд) для хранения СПГ, оснащенный термоизоляционным кожухом, предназначенным для устройства вакуумной изоляции, конструкция, оснащение и применяемые материалы которого обеспечивают при разгерметизации рабочего (внутреннего) сосуда целостность термоизоляционного кожуха и безопасный выход аварийной утечки природного газа из межстенного пространства в атмосферу.

(Введен дополнительно, Изм. N 1).

           

Принятые сокращения:

ГБА - газобаллонный автомобиль;

ЖМТ - жидкое моторное топливо;

КПГ - компримированный природный газ;

СУГ - сжиженный углеводородный газ;

ТО - техническое обслуживание;

ТР - текущий ремонт;

- свободный объем помещения;

- допустимый объем помещения;

НКПР - нижний концентрационный предел распространения пламени;

СПГ - сжиженный природный газ.     

(Измененная редакция, Изм. N 1).

4 Общие требования

     4 Общие требования

4.1 Для обслуживания автомобилей могут использоваться отдельные здания или группа зданий, помещение или группа помещений, а также открытые площадки.

4.2 Помещения для обслуживания автомобилей относятся к классу функциональной пожарной опасности Ф5.1. Помещения для обслуживания автомобилей могут быть пристроены к зданиям класса функциональной пожарной опасности Ф1.4, Ф3 (кроме Ф3.4), Ф4 (кроме Ф4.1), Ф5, встроены в здания класса функциональной пожарной опасности ФЗ (кроме Ф3.4), Ф5 и отделяться от них противопожарными стенами и перекрытиями 1-го типа.

Встраивание помещений для обслуживания ГБА в здания класса функциональной пожарной опасности Ф3 не допускается.

Входы и въезды в помещения для обслуживания автомобилей должны быть изолированы от входов и въездов в другие части здания.

4.3 К зданиям, сооружениям, помещениям и наружным установкам предприятий по обслуживанию автомобилей должны применяться все общие требования, предъявляемые к производственным объектам, если они не оговорены дополнительно в настоящем своде правил.

4.4. На предприятиях для обслуживания автомобилей следует предусматривать зоны хранения СПГ с учетом уровня пожаровзрывобезопасности зданий и сооружений.

(Введен дополнительно, Изм. N 1).

           

4.5. В зону хранения СПГ входит площадка хранилища СПГ (криогенные резервуары), площадка слива СПГ (сливная колонка), система газосброса (труба газосброса, факельная установка).     

(Введен дополнительно, Изм. N 1).     

5 Требования к размещению

     5 Требования к размещению

5.1 Огороженная территория, при количестве постов технического обслуживания (ТО) и текущего ремонта (ТР) более 10, должна иметь не менее двух выездов, находящихся на расстоянии не более 1500 м друг от друга. Ширина ворот автомобильных въездов должна быть не менее 4,5 м, а ширина ворот для железнодорожных въездов - не менее 4,9 м.

5.2 Расстояния между зданиями на территории предприятия, а также расстояния от зданий предприятия до объектов, находящихся вне территории предприятия, должны быть не менее предусмотренных СП 4.13130.

5.3 Расстояние от резервуаров на площадках поста слива СУГ и СПГ или выпуска КПГ до зданий и сооружений предприятий по обслуживанию автомобилей следует принимать по таблице 1.

Таблица 1

Здания и сооружения Расстояние, м, не менее
до надземных (в числителе) и подземных (в знаменателе) резервуаров единичной емкости до 25 м и общей до 50 м до надземных (в числителе) и подземных (в знаменателе) резервуаров единичной емкости до 5 м и общей до 10 м
Производственные, складские, административные, бытовые здания 25/15 15/8
Общественные 50/40 25/15

Минимальные расстояния от сбросной трубы паров СУГ и КПГ до зданий и сооружений предприятия определяются в соответствии с требованиями СП 156.13130, а от сбросной трубы СПГ - в соответствии с требованиями СП 326.1311500.

(Измененная редакция, Изм. N 1).

           

5.4 Расстояния от площадки складирования дегазированных автомобильных баллонов до других объектов не нормируются.

5.5 Хранение баллонов с негорючими газами, в том числе порожних, в количестве до десяти штук каждого наименования допускается производить в отдельных вентилируемых металлических шкафах, устанавливаемых в простенках между оконными или дверными проемами снаружи производственных зданий на расстоянии не менее 0,5 м до проема или на отдельных площадках под навесом из негорючих материалов. Расстояние от площадки до глухих стен производственных зданий не нормируется.

5.6 Наименьшие расстояния от зданий складов, навесов, открытых площадок для хранения баллонов с кислородом, азотом, горючими газами в количестве более десяти до производственных и вспомогательных зданий должно быть не менее 20 м.

При этом баллоны с кислородом должны храниться отдельно от баллонов с горючими газами. Баллоны с инертными газами могут храниться вместе с баллонами с горючими газами или кислородом.

(Измененная редакция, Изм. N 1).

5.7 Резервуары для СПГ на территории предприятия должны быть емкостью не более 50 м.

(Введен дополнительно, Изм. N 1).

           

5.8 Расстояния от резервуаров и наружных установок зоны хранения СПГ до зданий и сооружений, не относящихся к зданиям и сооружениям для обслуживания автомобилей, следует определять по таблице 1а.

Таблица 1а

Наименование объектов, не относящихся к зданиям Минимальные расстояния от резервуаров зоны хранения СПГ, м (при вместимости резервуара, м)
и сооружениям для хранения автомобилей с избыточным давлением до 0,2 МПа включительно с избыточным давлением свыше 0,2 МПа до 0,4 МПа включительно с избыточным давлением свыше 0,4 МПа до 0,8 МПа включительно
 

до 25 включи-

тельно

св. 25 до 50 включи-

тельно

до 25 включи-

тельно

св. 25 до 50 включи-

тельно

до 25 включи-

тельно

св. 25 до 50 включи-

тельно

Производственные, складские и административно-бытовые здания и сооружения промышленных и сельскохозяйственных организаций, гаражи и открытые стоянки автомобилей

30

(22)

35

(28)

40

(27)

45

(32)

50

(35)

55

(40)

Здания и сооружения классов функциональной пожарной опасности Ф1-Ф4

55

(35)

65

(40)

80

(40)

90

(45)

90

(60)

110

(65)

Примечание - Расстояния, указанные в скобках, принимаются при использовании на предприятиях только двухоболочечных резервуаров СПГ, криогенные резервуары которых отвечают требованиям к двухоболочечным резервуарам СПГ.

(Введен дополнительно, Изм. N 1).

5.9. Расстояния от резервуаров и наружных установок зоны хранения СПГ до зданий и сооружений для обслуживания автомобилей следует определять по таблице 1б.

Таблица 1б

Наименование зданий, сооружений технологических блоков Минимальные расстояния от резервуаров и наружных установок зоны хранения СПГ, м (при единичной вместимости резервуара, м)
  8 16 25 50
Здания и сооружения для обслуживания автомобилей 12 15 20 25
Площадка слива СПГ 12 15 20 25
Вспомогательные здания и сооружения 20 20 25 30
Примечание - Расстояния, указанные в таблице, могут быть сокращены при выполнении условий, приведенных в примечаниях к таблице 3 СП 326.1311500.2017.

(Введен дополнительно, Изм. N 1).

5.10. Внешнее ограждение территории предприятий с обращением СПГ должно быть проветриваемым и выполнено из негорючих материалов.

(Введен дополнительно, Изм. N 1).     

5.11. Расстояние от ограждения территории предприятия до криогенных резервуаров СПГ следует принимать не менее 10 м.

(Введен дополнительно, Изм. N 1).

           

6 Требования к объемно-планировочным и конструктивным решениям

     6 Требования к объемно-планировочным и конструктивным решениям

6.1 Степень огнестойкости, класс конструктивной пожарной опасности, высоту зданий для обслуживания автомобилей и площадь этажа в пределах пожарного отсека в зависимости от категории по взрывопожарной и пожарной опасности следует принимать по таблице 6.1 СП 2.13130.

6.2 Допускается помещения для хранения автомобилей размещать совместно с помещениями для ТО и ТР в здании I, II и III степени огнестойкости, класса конструктивной пожарной опасности не ниже С1 категорий В, Г и Д по пожарной опасности. Помещения для хранения автомобилей должны отделяться от других помещений противопожарными стенами 2-го типа и противопожарными перекрытиями 3-го типа. Здания и сооружения, связанные с обращением СПГ, следует проектировать I-III степени огнестойкости, класса конструктивной пожарной опасности С0.

(Измененная редакция, Изм. N 1).

           

6.3 Допускается шиномонтажные работы производить в помещении постов ТО и ТР, а хранение автомобильных шин следует предусматривать в обособленном помещении, отделенном от примыкающих помещений противопожарными перегородками 1-го типа. Помещения для хранения автомобильных шин площадью более 50 м должны располагаться у наружных стен с оконными проемами.

6.4 В отдельных помещениях здания следует предусматривать участки краскоприготовления, а также кладовые или склады для хранения:

смазочных материалов;

лакокрасочных материалов;

твердых горючих материалов (пластмасс, резины, упаковочных материалов).

Кладовые и склады горючих материалов и негорючих материалов в горючей упаковке следует размещать у наружных стен, отделяя их от смежных помещений и коридоров в зданиях I-III степени огнестойкости противопожарными перегородками 1-го типа, противопожарными перекрытиями 3-го типа, в зданиях IV степени огнестойкости противопожарными перегородками 2-го типа и противопожарными перекрытиями 4-го типа.

Помещения для хранения лакокрасочных и смазочных материалов (в том числе и отработавших) должны располагаться у наружной стены здания с непосредственным выходом наружу. Допускается хранение в помещении не более 5 м жидких горючих смазочных и лакокрасочных материалов.

6.5 Помещения для производства окраски автомобилей следует размещать у наружных стен, отделяя их от остальных помещений в зданиях I-III степени огнестойкости противопожарными перегородками 1-го типа, противопожарными перекрытиями 3-го типа, в зданиях IV степени огнестойкости - противопожарными перегородками 2-го типа и противопожарными перекрытиями 4-го типа.

6.6 Окрасочно-сушильные камеры допускается располагать в помещениях ТО и ТР.

6.7 Теплогенератор, обеспечивающий теплом окрасочно-сушильные камеры, следует располагать в отдельном помещении (теплогенераторной), отделенном от остальных помещений в зданиях I-III степени огнестойкости противопожарными перегородками 1-го типа, противопожарными перекрытиями 3-го типа, в зданиях IV степени огнестойкости - противопожарными перегородками 2-го типа и противопожарными перекрытиями 4-го типа.

6.8 Участки для выполнения газосварочных работ должны обеспечиваться централизованным газоснабжением.

Допускается использовать оборудование газовой резки и сварки с применением баллонов с горючим газом и кислородом.

При наличии постов ТО и ТР до 10 включительно посты для ремонта кузова с применением сварки допускается огораживать сплошными экранами из негорючих (НГ) материалов высотой не менее 2,5 м от пола, а при наличии постов ТО и ТР свыше 10 посты для ремонта кузова с применением сварки следует располагать в обособленном помещении, отделенном от примыкающих помещений противопожарными перегородками 1-го типа.

Запасные баллоны с газами для сварки и резки следует хранить в соответствии с [2].

6.9 Помещения для хранения ГБА и постов ТО и ТР ГБА не допускается размещать в подземных этажах.

6.10 Мойку автомобилей допускается осуществлять в помещении постов ТО и ТР.

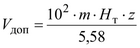
6.11 Помещение для хранения и обслуживания автомобилей следует относить к пожароопасным категориям. При этом свободный объем помещения, определяемый по п.А.1.4 СП 12.13130, должен превышать допустимый.

Допустимый объем помещений , м, определяется по формуле


,                                             (1)

где - масса газа или паров топлива, которые могут поступить в окружающее пространство из топливной системы, кг;

- удельная теплота сгорания топлива, МДж/кг;

- коэффициент участия паров топлива во взрыве по СП 12.13130.

При определении массы газа, вышедшего из топливной системы автомобиля, допускается учитывать работу аварийной или общеобменной вентиляции согласно п.А.2.3 СП 12.13130.

6.12 Если свободный объем помещения меньше минимально допустимого, определяемого по формуле (1), помещение должно быть оборудовано:

- непрерывно действующей системой автоматического контроля загазованности, сблокированной с включением аварийной вентиляции;

- аварийной вентиляцией кратностью, определяемой расчетом, но не менее 5 объемов в час со 100%-ным резервированием вентиляторов;

- электроснабжением аварийной вентиляции по первой категории надежности;

- взрывозащищенным электрооборудованием, соответствующим зоне 2-го класса по Правилам [3];

- легкосбрасываемыми конструкциями из расчета 0,05 м на 1 м помещения.

(Измененная редакция, Изм. N 1).

           

6.13 Помещения для технического обслуживания ГБА при свободном объеме помещения более допустимого должны быть оборудованы непрерывно действующим автоматическим контролем загазованности и аварийной вентиляцией.

6.14 В помещениях для мойки ГБА при свободном объеме помещения меньше допустимого следует выполнять условия, приведенные в п.6.11 настоящего свода правил.

6.15 Помещения для мойки ГБА при свободном объеме, превышающем допустимый объем, рассчитываемый по формуле (1) без учета снижения массы газа в случае наличия аварийной вентиляции, проектируются без дополнительных мероприятий, указанных в п.6.11 настоящего свода правил.

6.16 Все работы с ГБА при снятых баллонах или при пустых дегазированных баллонах осуществляются без дополнительных требований, как для автомобилей, работающих на ЖМТ.

6.17 При совместном обслуживании автомобилей с двигателями, работающими на компримированном природном и сжиженном углеводородном газе, допускается предусматривать одну площадку под навесом для постов слива и выпуска газов, разделенную глухой перегородкой из негорючих материалов с ненормируемым пределом огнестойкости высотой, превышающей наибольшую высоту обслуживаемого подвижного состава не менее чем на 0,5 м.

Площадки слива СПГ должны иметь ограждения с пределом огнестойкости не менее Е 150. Высота ограждения должна быть не менее 0,3 м.

(Измененная редакция, Изм. N 1).

           

6.18 Посты выпуска газа и дегазации баллонов должны иметь шкафы для размещения не менее двух баллонов с негорючим продувочным газом, исключающим электролизацию при истечении, снабженных редуцирующими устройствами.

Труба для выпуска газа, образующегося при продувке топливного баллона продувочным газом, должна быть диаметром не менее 0,05 м и выводиться на высоту не менее 6 м от планировочной отметки земли (но не ниже высоты ближайшего здания).

6.19 Помещения, в которых производится регулировка газовой системы непосредственно на автомобиле, следует отделять от других производственных помещений и коридоров противопожарными перегородками 1-го типа, противопожарными перекрытиями 3-го типа.

6.20 Размещение административных и бытовых помещений в зданиях по обслуживанию автомобилей следует выполнять в соответствии с требованиями СП 4.13130.

6.21 Заправка автомобилей на предприятиях по обслуживанию автомобилей должна осуществляться в соответствии с СП 156.13130.

6.22 Помещения зарядки аккумуляторов следует предусматривать в соответствии с СП 4.13130.

Допускается зарядку герметичных аккумуляторов осуществлять в помещениях ТО и ТР.

6.23. На предприятии должен быть предусмотрен организованный сброс горючих газов. Система сброса СПГ должна быть спроектирована в соответствии с разделом 7.5 СП 326.1311500.

(Введен дополнительно, Изм. N 1).     

6.24. Опорные конструкции под отдельно стоящими емкостями, содержащими ЛВЖ и ГЖ, должны быть из негорючих материалов и иметь предел огнестойкости не менее R45. Предел огнестойкости опорной конструкции резервуаров с СПГ должен быть не менее R150.     

(Введен дополнительно, Изм. N 1).

          

7 Требования к системам инженерно-технического обеспечения

     7 Требования к системам инженерно-технического обеспечения

7.1 Отопление и вентиляция

7.1.1 Помещения для обслуживания автомобилей следует обеспечивать общеобменной приточно-вытяжной вентиляцией с механическим побуждением, а отдельные участки с выделением пожаро-взрывоопасных газов, паров и пылей - местными отсосами.

7.1.2 В системах местных отсосов концентрация удаляемых горючих газов, паров, аэрозолей и пыли в воздухе не должна превышать 50% НКПР при температуре удаляемой смеси.

7.1.3 Системы вытяжной вентиляции помещений для размещения окрасочного и аккумуляторного участков не допускается объединять между собой и с системами вытяжной вентиляции других помещений.

7.1.4 Необходимость обеспечения помещений противодымной вентиляцией устанавливается в соответствии с положениями СП 7.13130.

7.1.5 На воздуховодах приточных систем в пределах венткамер, обслуживающих помещения, в которых производятся работы с ГБА, следует предусматривать устройство обратных клапанов.

7.2 Пожаротушение, сигнализация и оповещение

7.2.1 Противопожарное водоснабжение следует предусматривать в соответствии с требованиями СП 8.13130 и СП 10.13130.

(Измененная редакция, Изм. N 1).

           

7.2.2 Автоматическим пожаротушением должны быть оборудованы складские помещения для хранения автомобильных шин, смазочных материалов площадью 200 м и более.

7.2.3 Системами автоматической пожарной сигнализации обеспечиваются все производственные, складские и административно-бытовые помещения, а также технические помещения для инженерного оборудования здания (в том числе теплогенераторные и дизель-генераторные помещения), кроме помещений, указанных в п.4.4 СП 486.1311500.

(Измененная редакция, Изм. N 1).

           

7.2.4. Сигнализаторами довзрывоопасных концентраций обеспечиваются все помещения, независимо от площади, в которых возможно выделение горючих газов и паров топлива. Оборудование указанных помещений датчиками довзрывных концентраций необходимо производить из расчета не менее одного датчика на 80 м площади помещения.

Газоанализаторы необходимо устанавливать в центре поста по обслуживанию автомобилей или парковочного места возможного источника истечения газа (ГБА).

В случае истечения легких газов (плотностью не более 0,8 по отношению к воздуху) газоанализаторы необходимо устанавливать на расстоянии не более 0,2 м от горизонтальной поверхности плит перекрытия помещения, а в случае истечения тяжелого газа (плотностью не более 1,5 по отношению к воздуху) - на расстоянии не более 0,2 м от горизонтальной поверхности пола помещения.

Дополнительные газоанализаторы устанавливаются в углублениях более 0,3 м независимо от площади помещения.

Указанные сигнализаторы должны обеспечивать выдачу командного импульса на включение светового и звукового сигнала при достижении концентрации газов и паров выше 10% НКПР и включении аварийной вентиляции.

(Измененная редакция, Изм. N 1).

           

7.2.5 (Исключен, Изм. N 1).

           

7.2.6 Здания и сооружения для обслуживания автомобилей должны быть оборудованы системой оповещения и управления эвакуацией (СОУЭ) при пожаре в соответствии с таблицей 2.

Таблица 2

Здания и сооружения Количество Тип СОУЭ
по обслуживанию этажей 1 2 3 4 5
автомобилей 1-3 *
4 и более *

7.2.7. Использование воды для тушения пожаров проливов СПГ не допускается.

(Введен дополнительно, Изм. N 1).

           

7.2.8. Для защиты от теплового воздействия при пожарах резервуары с СПГ должны быть защищены автоматическими установками водяного орошения в соответствии с требованиями раздела 14 СП 326.1311500.

(Введен дополнительно, Изм. N 1).

7.3 Электроснабжение

7.3.1 Электроприемники систем противопожарной защиты, автоматического контроля воздушной среды, аварийного и эвакуационного освещения, сигнализации и вытяжной вентиляции во взрывозащищенном исполнении следует относить к электроприемникам I категории надежности электроснабжения.

7.3.2 Для электроснабжения предприятий по обслуживанию автомобилей допускается использовать генераторы, работающие на жидком и газовом топливе. Генераторы должны размещаться в отдельном здании (в том числе мобильном), отдельном помещении или на площадке с навесом. Генераторы, работающие на газовом топливе, допускается размещать на покрытии зданий I-III степени огнестойкости при соблюдении требований СП 4.13130.

7.3.3 Категория помещения дизель-генераторной по взрывопожарной и пожарной опасности должна быть не опаснее В1.

7.3.4 Противопожарное расстояние между площадкой с дизель-генератором и другими объектами должно составлять: при наличии оконных и дверных проемов в стене, обращенной к площадке, - не менее 15 м; при глухой стене - не менее 8 м.

7.3.5 Допускается размещать площадку с дизель-генератором непосредственно у противопожарной стены 1-го типа здания.

Библиография

Библиография

[1] Технический регламент Таможенного союза ТР и ТС 018/2011 "О безопасности колесных транспортных средств"
[2] Федеральный закон от 22 июля 2008 г. N 123-ФЗ "Технический регламент о требованиях пожарной безопасности"
[3]   (Исключена, Изм. N 1).
УДК 614.841.45:629.114.6:006.354 ОКС 13.220.01
Ключевые слова: обслуживание автомобилей, газобаллонные автомобили, пожарная безопасность